AK平台
简介
诚信通

全国服务热线:4008-168-880

技术咨询:13714053430 (微信同号)

AK(中国)一站式服务平台新闻

联系我们

联系电话:4008-168-880

深圳总部销售客服:13714053430

深圳总部传真:0755-89501950

深圳总部售后:13714053430

网 址:www.aspirateurautonome.com

E-mail:tflaser@tflaser.com

在线QQ:4008168880

MSN:tf.laser@hotmail.com

skype:tflaser1


阶跃折射率多模光纤与自聚焦光纤

信息来源:本站 日期:2018-12-14 

0

      自聚焦光纤具有一定的聚焦特性,而阶跃折射率多模光纤根本没有聚焦特性,因此,自聚焦光纤模式色散小得多。下面我们还是用光程的泰勒展开来分析阶跃折射率多模光纤的模式色散,铝合金光纤焊接机


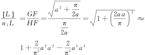
     我们在图6的阶跃折射率多模光纤中选取光线OGF进行分析,假定它的空间周期也为2π/α,则有

铝合金光纤焊接机<

     其中n1L是轴线基模光线走过的光程。可见,由于阶跃折射率多模光纤没有聚焦特性,高阶模与基模光线的相对光程差含有α2a2项。而自聚焦光纤有明显的聚焦特性,这个差值只含有α4a4。显然自聚焦光纤的模式色散比阶跃折射率多模光纤小两个数量级。铝合金光纤焊接机<

                                                     

     图6 阶跃折射率多模光纤的聚焦特性


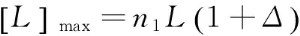
     为了计算模式色散,必须求得最大模式条件,最大模式显然是对应临界角的光线。


     因此整理式(23),得

铝合金光纤焊接机<

     将公式(24)代入式(22),得到

     则阶跃折射率多模光纤的模式色散为

铝合金光纤焊接机<

     与式(7)是一致的。一般地Δ~10-2,则Δ2~10-4,因此自聚焦光纤的模式色散确实比阶跃折射率多模光纤小两个量级。铝合金光纤焊接机<

版权所有 AK平台 粤ICP备12059204号   

公网安备

粤公网安备 44030902000822号

网站地图   |    在线留言